Post-Exercise Hot-Water Immersion Promotes Heat-Acclimation Responses in Endurance Athletes and Recreational Athletes: A systematic review and meta-analysis

Jack Martin, Department of Health and Wellbeing, University of Winchester

Abstract

The fundamental aim of this meta-analysis was to evaluate the effectiveness of post-exercise hot-water immersion as a method of eliciting heat-acclimation responses. The secondary aim was to identify if an intervention period of 5 to 9 days of post-exercise hot-water immersion had any effect on time-trial finishing times in hot environmental conditions. Four databases were used along with two academic search engines to search for studies that satisfied the inclusion criteria. In order to fulfil the inclusion criteria, studies had to be either randomised-control trials or mixed-method design in nature, focusing on hot-water immersion or heat acclimation, with the full text publicly available. Three repeated-measures design studies, two randomised-control trials and one randomised cross-over design study were included. Statistical analysis took place by calculating effect sizes comparing pre- and post-intervention testing for all of the main outcome measures. The main outcome measures were time to complete a predetermined treadmill-based time trial, during-exercise heart rate and post-exercise heart rate, rectal temperature, physiological strain index and thermal sensation.

Once the effect sizes had been calculated, they were graphically represented using forest plots heterogeneity tests in Meta-Essentials Excel software package.

The results of the meta-analysis indicate that a 5- to 9-day protocol of post-exercise hot-water immersion reduces: time taken to complete a treadmill-based time trial, heart rate (-9 BPM ± 1.3), rectal temperature (-0.38 ± 0.03 °C). Additionally, sweat rate increased by 0.09 litres. Changes in ratings of perceived exertion, physiological heat strain index and thermal sensation were considered statistically significant. There was no difference between endurance-trained and recreationally trained individuals in relation to changes in ratings of perceived exertion as a result of heat training. However, the time delay between when exercise was conducted and when hot-water immersion occurred significantly impacted measures of thermal sensation.

Keywords: Heat strain index, time-trial performance, heat-acclimation protocols, plasma volume, thermoregulatory responses

Introduction

Acute exercise in hot environmental conditions increases physiological strain; inducing an increase in whole-body temperature leading to thermal discomfort, increased cardiovascular strain, perception of exertion and impairment of aerobic capabilities (Casa et al., 2015; Racinais et al., 2015; Young et al., 1985;). However, long-term exposure to heat stress intensifies thermoregulatory responses, enhances submaximal exercise performance, improves maximal oxygen uptake (VO2max) (Guy et al., 2016; Tyler et al., 2016), improves skin blood flow response, and increases sweat rate and plasma expansion (Racinais et al., 2015; Chong and Zhu, 2017) while mitigating the effect of thermal discomfort.

To counteract the impacts of thermal strain and the cardiovascular limitations associated with acute exposure to exercising in hot conditions (Chong and Zhu, 2017), athletes and individuals often partake in heat-acclimation protocols aimed to improve exercise performance in hot environmental conditions (Guy et al., 2016). Newly emerging research suggests that the ergogenic benefits of exercise-focused heat acclimation may extend further than just improving exercise performance in hot conditions. By undergoing a heat-acclimation protocol an individual’s exercise performance in cool conditions can also be improved (Zurawlew et al., 2016; Pryor et al., 2019), However, further research is required.

Extensive research has been conducted evaluating the different methods to overcome the physiological limitations encountered while exercising in hot conditions. (Altareki et al., 2009; Cheuvront et al., 2010; Jentjens et al., 2002; Schulze et al., 2015; Tatterson et al., 2000) Heat acclimatisation is the process by which physiological adaptations occur in response to naturally occurring heat stress – for example, seasonal heat adaptation. However, heat acclimation is defined as the process where a series of complex changes and adaptations occur in response to heat stress where the source of thermal stress is derived from an artificial source – for example, hot-water immersion and environmental chambers (Nielsen, 1998). While pre-exercise cooling strategies can often provide a much more economically viable solution when compared to more expensive heat-acclimation strategies, the overall successfulness of pre-exercise cooling is often sub-par (Quod et al., 2008; Ross et al., 2011).

While heat-acclimation protocols may be the norm for professional athletes, they are arguably not the ideal method for amateur athletes with limited time away from work and family commitments. There are a variety of limitations that come with acclimatisation protocols for amateur athletes. There are many limitations of warm-weather training camps; one primary limitation is the psychological effect experienced from being away from friends and family for a potentially unnecessary amount of time, which may lead to a decrease in physiological wellbeing (Thornton et al., 2018). Thus, it is evident that a heat-acclimation protocol may not be the best thermal-stress mitigation strategy for armature athletes. Consequently, it can be argued that amateur athletes will benefit more from completing a heat-acclimation protocol with an artificially controlled heat stress source such as hot-water immersion. Hence, this study will perform a quantitate evaluation on the effectiveness of post-exercise hot-water immersion regarding its ability to produce the physiological effects normally associated with heat training.

One newly emerging method of heat-acclimation training is post-exercise hot-water immersion, which previous research has claimed to result in similar responses to other heat-training methods. Fox et al. (1963) were one of the first to publish research in this area, focusing on passive heat acclimation using a form of controlled hyperthermia via a vapour barrier suit. However, these methods were somewhat limited in regard to their practicality and reported no change to thermoregulatory responses during exercise heat stress. Newer research provides support for the theory of post­-exercise hot-water immersion, suggesting that in non-heat-acclimated individuals, a 10- to 14-day period of hot-water immersion decreased core temperature at rest before and during hot-water immersion (Brazaitis and Skurvydas, 2010). With limited research on this topic, and differing protocols used, it is unclear what the exact effects of post-exercise hot-water immersion are and what the best protocol is for the desired physiological response. Hence, this study will perform a quantitative evaluation on the effectiveness of post-exercise hot-water immersion regarding its ability to produce the physiological effects that are normally associated with heat training.

Methods

Search strategy

A systematic literature search on articles published up to 6 April 2020 was carried out in the databases PubMed (MEDLINE), Scopus, SPORTDisscus and Web of Science. Additionally, academic search engines Google Scholar and ResearchGate were used. A search strategy was developed based on the Pico model (da Costa Santos et al. 2007; Eriksen and Frandsen, 2018).

The Pico model is an evidence-based process used for framing a question, adopting the following system: identifying a problem, creating an intervention, comparing pre- and post-intervention, and measuring the outcome of interest. The Boolean operators ‘AND’ and ‘OR’ were used to search the following terms: ‘postexercise’, ‘heat acclimation’, ‘hot water immersion’, ‘hot environmental conditions’ and ‘endurance exercise’.

Diagram

Figure 1: Prisma flow diagram
Figure 1: Prisma flow diagram
Criteria Yes No Other (CD,NR,NA)
Is the review based on a focused question that is adequately formulated and described?      
Were eligibility criteria for included and excluded studies predefined and specified?      
Did the literature search strategy use a comprehensive, systematic approach?      
Were titles, abstracts and full-text articles dually and independently reviewed for inclusion and exclusion to minimise bias?      
Was the quality of each included study rated independently by two or more reviewers using a standard method to appraise its internal validity?      
Were the included studies listed along with important characteristics and results of each study?      
Was publication bias assessed?      
Was heterogeneity assessed? (This question applies only to meta-analyses.)      
Table 1: NIH Quality Assessment Tool for Systematic Reviews and Meta-Analyses (National Heart, Lung and Blood Institute, n.d.)
Note: The green boxes represent yes when answering the proposed question and the red boxes represent the no option.

The NIH Quality Assessment Tool for Systematic Reviews and Meta-Analyses (National Heart, Lung and Blood Institute, n.d.) was used during the planning and preparation of this review to ensure that the scientific rigour of this systematic review and meta-analysis was as high as possible. This involved forming a strict primary hypothesis and data-collection protocol as well as using the most up-to-date data analysis methods and assessing for heterogeneity.

Selection criteria

The previously specified search strategy yielded a net result of 345 articles. After removing duplicate studies, this came to a total of 98 titles. Titles and abstracts were reviewed to determine whether studies fulfilled the selection criteria. Studies were eligible for inclusion if they met the following criteria: (1) articles must be written in English and must have been published between 2010 and 2020; (2) wet-heat acclimation must be included as a primary intervention during the study; (3) studies needed to be of a pre–post design with a significant time duration (> 6 days) of the selected intervention method; (4) studies had to include an experience-based measurement to quantify the effects of the heat-acclimation protocol, for example time-trial performance or similar aerobic fitness testing protocol; (5) a full-text version of the study had to be publicly available with public access to all data used within the study.

Subsequently, the studies selected were based on the Prisma checklist constructed by Moher et al., 2009. Studies were excluded if the participants were already stated to be heat acclimatised or had undergone any form of thermal training in the previous three months. Articles were only included in the full-text review if it was deemed that their title and abstract met the fundamental demands of the inclusion criteria. After the final selection, the total possible articles came to 54. All eligible papers were then screened via analysing the full text. At this stage, several articles were removed due to data not being in the public domain, despite efforts attempting to contact the authors.

Quality assessment

After analysing all 54 identified articles and narrowing down the selection at each stage of reviewing the articles, a total of 6 were included due to being randomised and controlled in their design (as reported in Figure 1). Using a modified version of the 11-step Pedro scale (Eriksen and Frandsen, 2018; Moher et al., 2009; Brazaitis and Skurvydas, 2010), the studies were assessed for any possible risk of biases and overall quality.

Study quality

Study quality and reporting were assessed using the validated TESTEX scale (Smart et al., 2015) (Figure 2). This scale consists of a validated 15-point scale, which evaluates the randomised-control trial elements of the study (total 5 points available for this section), and the quality of data and information reporting within the study (total 10 points available for this section). A study with a TESTEX quality score of less than 10 was deemed to be low quality.

Data extraction and statistical analysis

For all the articles that met the initial inclusion criteria, basic information and data were extracted into a standardised Excel spreadsheet, which included: sample size, study design, study location, intervention vs control sample size, intervention vs control methods, and control vs experimental heat-testing conditions. Additionally, an enhanced data-extraction process occurred with the aim of conducting a meta-analysis. The data fields for this included: all usable data regarding the study’s hot-water immersion protocol (immersion duration, temperature, frequency and time implemented post-exercise as well as the number of participants able to complete the immersion at each stage of the intervention), cool and hot environmental testing conditions, (ambient temperature and humidity) and pre-intervention testing protocol (exercise(s) test used, familiarisation protocols). The raw data from pre-intervention testing and post-intervention testing were included. To ensure a high level of quality control during the data-extraction phase, data was extracted in duplicates. In the event that the statistical findings were unclear, a second data reviewer would be appointed to reach a consensus regarding the outcome of the data-extraction and statistical-analysis phase.

The meta-analysis was conducted by exporting all accessible raw data for all outcome measures into a customised spreadsheet and then importing the data into the Meta-Essentials Excel software packages version 1 (Suurmond, van Rhee and Hak, 2017). Subsequently, all data was analysed using one of three analysis tools of the software package, either: (1) Meta-Essentials Effect Size data, (3) Meta-Essentials Difference between independent groups – continuous data (for randomised-control trials study designs) or (4) Meta-Essentials Difference between dependent groups – continuous data (for other study designs). Data analysis was also split between raw data (e.g. pre- and post-intervention) and effect size compared to baseline data (baseline data was not published in the studies with this data type). The meta-analysis was presented using forest plots and publication bias, and a 5 per cent level of significance was applied to illustrate the significance of the results. Standardised mean difference was calculated using the standardised mean-difference effect size (d) calculator designed by Curlette (1987).

Heterogeneity

To evaluate the heterogeneity among the studies, the I2 statistic (Borenstein et al., 2017) was employed with values >50 per cent demonstrating substantial heterogeneity (Higgins et al., 2003). Equally, the risk of publication bias was analysed by using the Egger plot (Egger et al., 1997). Most analysis of heterogeneity depends on the number of trials included in a meta-analysis, which is usually small, and this limits the statistical power of the test. Therefore, the 95 per cent confidence interval was chosen (Huedo-Medina et al., 2006; Thompson and Sharp, 1999).

  Brazaitis and Skurvydas 2010 Zurawlew et al. 2016 Zurawlew et al. 2018a Zurawlew et al. 2018b Heathcote et al. 2019 Zurawlew et al. 2019
Eligibility criteria specified 1 1 1 1 1 1
Randomisation details specified 1 1 1 1 1 1
Allocation concealed 1 1 0 0 1 0
Groups similar at baseline 1 1 1 1 1 1
Assessors blinded 1 0 1 0 1 1
Outcome measures assessed >85 per cent participants 3 3 2 3 2 2
Intention to treat analysis 1 1 1 1 1 1
Reporting between-group statistical comparison 1 1 1 0 1 0
Point measures & measures of variability 1 1 1 1 1 1
Activity monitoring in control group 1 1 0 0 1 0
Relative exercise intensity constant 1 1 1 1 1 1
Exercise volume & energy expenditure 1 1 1 1 1 1
Overall TESTEX score (/15) 14/15 13/15 11/15 10/15 13/15 10/15
Table 2: TESTEX study quality table

The inclusion criteria produced five repeated-measures design studies and one mixed-methods study that were considered for meta-analysis. All chosen studies were published in the period from 2010 to 2019. The sample size varied between 1 to 13, with all participants being completely informed of what was involved in their respective study. There was large variability in both the level of weekly physical activity and self-determined physical ability.

Results

The inclusion criteria produced five repeated measure design studies and one mixed-methods study that were considered for meta-analysis. The studies included in the meta-analysis were Brazaitis and Skurvydas, 2010, Zurawlew et al. 2016, Zurawlew et al. 2018a, Zurawlew et al. 2018b, Heathcote et al. 2019 and Zurawlew et al. 2019. All included studies were published between 2010 and 2019. Sample sizes varied between 1 to 13, which resulted in a total of 66 participants (60 males and 6 females) with the mean age of all participants 25.8 ± 4.7. Participants’ sporting habits varied between classified as healthy recreational individuals to healthy well-trained individuals competing in endurance sports such as triathlon and marathons.

The primary outcome measures of the meta-analysis were: difference in time-trial finishing time (in seconds) where time-trial completion time was measured using a treadmill-based time trial; changes in heart rate (BPM), including during-exercise heart rate (HRe); heart rate following hot-water immersion (HRhwi); changes to body temperature when measured using either core temperature (T°C), mean skin temperature (Ts°C) or rectal temperature (Tre°C). The psychological perception of heat stress was measured using the following scales: physiological strain index (PSI) (Moran et al., 1996); thermal sensation was determined according to the 5-point scale (Kraessig, 1978) or an eight-point scale. (Moran et al., 1996), and the rating of perceived exertion (RPE) is included in studies where RPE was measured using the Borg and Kaijser (2006) scale.

Changes in heart rate following heat-acclimation training

Six studies (eight sub-groups) were evaluated to see the change in heart rate following heat acclimation (Figure 2) with five sub-groups reporting that heat acclimation has a significant effect on heart rate. By undergoing a prolonged period (6–9 days) of hot-water immersion-based heat-acclimation training, during-exercise heart rate was reduced by ~-7 BPM. Additionally, end-of-exercise heart rate was reduced by ~-10 BPM.

Figure 2: Changes in heart rate after a prolonged heat-acclimation training protocol
Figure 2: Changes in heart rate after a prolonged heat-acclimation training protocol

The difference in size between the circles indicates the level of effect of post-exercise hot-water immersion when taking into account the sample size of the study. The larger circles with a negative effect size number represent a study with a larger sample size where the intervention method has had the desired response.

The effect of repeated post-exercise hot-water immersion on rectal temperature

Repeated post-exercise hot-water immersion exposure resulted in a small but statistically significant decrease in rectal temperature (Figure 3). The results from the Forrest plot indicate that all sub-groups reported a decrease in this outcome measure. However, the results show rectal temperature is reduced significantly more post-exercise than during exercise following heat-acclimation training.

End-of-exercise rectal temperature decreased by -0.8 Tre°C, compared to during-exercise rectal temperature, which changed by only -0.3 Tre°C. This suggests that post-exercise hot-water immersion-based heat training has a significant effect on both during and end-of-exercise rectal temperature, but that end-of-exercise Tre is reduced to a greater extent.

Figure 3: Changes in rectal temperature following wet-heat acclimation training.
Figure 3: Changes in rectal temperature following wet-heat acclimation training.

Change in Tre compared to baseline testing.

Zurawlew et al. (2018b; 2019) reported Tre°C at sweating onset point; however, Zurawlew et al. (2018a; 2018b; 2019) reported mean Tre during and after the whole testing protocol. A total of five studies displayed Tre data with 14 sub-groups included in this analysis. Eight sub-groups reported a significant difference for Tre after heat-acclimation, (SMD, -0.3814 Tre°C).

Changes in sweat rate following a series of hot-water immersion-based heat-training protocols

The heat-training protocol resulted in an increase in sweat rate which was reported in Zurawlew et al., 2016, Zurawlew et al., 2018a and Zurawlew et al., 2018b afternoon (PM) data. However, the Zurawlew et al., 2019 morning (AM) data sub-group reported a decrease in sweat rate following heat training. This suggests that sweat rate is likely to increase following heat-acclimation training protocols as expressed in previous literature.

Figure 4: Changes in sweat rate following heat-acclimation training
Figure 4: Changes in sweat rate following heat-acclimation training

Change in sweat rate following heat acclimation is displayed in Figure 4. The effect of heat acclimation on sweat rate was reported in three studies; nonetheless, owing to sub-groups in the studies, a total of four sub-groups reported data for changes in sweat rate. Figure 4 displayed the SMD changes in sweat rate (litres per hour) with one sub-group reporting a significant difference after completing heat acclimation, (SMD, 0.085).

The effect of repeated post-exercise hot-water immersion protocols on rating of perceived exertion (RPE) during submaximal exercise

A series of hot-water immersion-based heat-training sessions resulted in a statistically significant decrease in RPE during submaximal exercise performance when compared to the baseline data. Three sub-groups out of a total of nine reported results that were of a statically significant level; however, two sub-groups did report that RPE did not change as a result of the heat-training protocols.

Figure 5: Changes in RPE following heat-acclimation training
Figure 5: Changes in RPE following heat-acclimation training

Changes in RPE are displayed in Figure 5 The effect of wet-heat training was reported in four studies, with a total of nine sub-groups reporting data. The standardised mean difference for all included sub-groups was -1.8 (SMD -1.8).

Changes in physiological heat strain index (PSI) after following a six-day wet-heat training protocol

Figure 6 displays the results from a meta-analysis regarding the effects of post-exercise hot-water immersion on PSI. Measures of thermal strain were conducted in one study with a total of four sub-groups reporting data. Two studies reported results that were statistically significant, demonstrating that a six-day period of wet-heat acclimation is able to significantly reduce the sensation of physiological heat strain.

Figure 6: Changes in physiological heat strain index following heat-acclimation training
Figure 6: Changes in physiological heat strain index following heat-acclimation training

Four sub-groups, all from one study, reported findings regarding the effect of post-exercise hot-water immersion on changes in PSI. Two of the sub-groups reported results that were considered statistically significant. The SMD for this measure was calculated to be -0.6.

Changes in thermal sensation after a series of wet-heat acclimation training sessions are displayed in Figure 7. The analysis of the included Heathcote et al., (2019) sub-groups suggests that the greatest change in thermal sensation occurs when hot-water immersion is conducted within 1 hour of exercise. Both the 10-minute time gap and the 1-hour time gap between exercise and hot-water immersion resulted in similar decreases in thermal sensation (10-minute time gap -1.8; 1-hour time gap -1.9).

Figure 7: Changes in thermal sensation following heat-acclimation training
Figure 7: Changes in thermal sensation following heat-acclimation training

Three studies reported findings relating to thermal sensation, but owing to sub-groups, a total of eight databases were analysed. Only the study of Zurawlew et al. (2019) reported statically significant results in the sub-groups morning vs afternoon thermal sensation (AM and PM) data. The standardised mean difference for all included sub-groups was reported as -3.15.

Discussion

This systematic review and meta-analysis aimed to update the available literature by using only recently published studies (2010–2020) on the outcome measures associated with thermoregulatory adaptations attributed to post-exercise hot-water immersion during athletic performance. (Tebeck et al., 2019).

The results from this meta-analysis suggest that wet-heat acclimation (in this case post-exercise hot-water immersion) resulted in similar physiological adaptations to dry-heat acclimation (Horstman and Christensen, 1982et al.,; Moran et al., 1996; Tebeck et al., 2019). Prior research has shown that a prolonged period of heat training (>14 days) decreases heart rate during exercise in hot conditions of up to 37°C (Casa et al., 2015; Guy et al., 2016; Racinais et al., 2015). This meta-analysis supports these claims with post-exercise hot-water immersion training reducing exercise heart rate by -9 BPM (SMD). Previous literature has equally shown that following a >14–day period of heat training, a decrease in rectal temperature is experienced during and post-exercise as a result of increased heat tolerance (Cheung and McLellan, 1998; Pandolf, 1979). This theory is equally supported by the statistical findings of this meta-analysis, which concluded that following a 1- to 2-week period of heat training, rectal temperature decreased by (SMD) -0.3814 Tre (°C).

Prior research has demonstrated that for dry-heat acclimation, a prolonged period of >14 days is optimal for achieving the greatest rate of heat acclimation. However, the results from this meta-analysis show that with wet-heat acclimation, the greatest rate of adaptation is achieved after six days. Therefore, it can be advised that the rate of heat adaptation is quicker for hot-water immersion when compared to dry heat-acclimation methods.

Time-trial finishing time

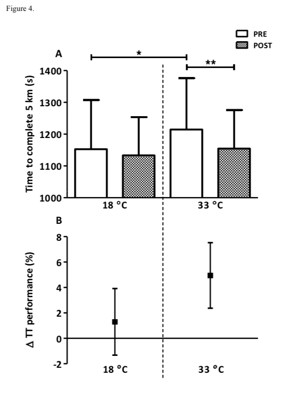
An analysis of 5-km treadmill time-trial performance in hot environmental conditions following a 14-day period of heat-acclimation training

The analysis of time-trial performance reports that a 14-day period of post-exercise hot-water immersion training significantly improves performance in both thermoneutral (18°C) and hot (33°C) experimental conditions (Figure 8). The performance improvement was significantly greater in hot (33°C) conditions with participants reporting a 5 per cent timesaving compared to their control time with no heat-training time. During hot environmental conditions (33°C) time-trial performance testing the pre-intervention time was 1321 ± 219s with the post-intervention time being 1299 ± 207s. The mean difference between pre-intervention and post-intervention time-trial finishing time was 22s. This suggests that post-exercise hot-water immersion has a significant effect on reducing the time taken to complete a 5-km treadmill time trial in both thermoneutral (18°C) and hot (33°C) environmental conditions.

Figure 8
Figure 8: Influence of a six-day post-exercise hot-water immersion protocol on 5-km treadmill time-trial performance (Zurawlew et al., 2016) (A); Treadmill time-trial finishing time in 18°C (40 per cent humidity) and 33°C (40 per cent humidity) (B) per cent change in 5-km treadmill time-trial finishing time. Graph (A) shows mean and SD. Graph (B) shows mean and 90 per cent CI of the differences. * p < 0.05 and ** p < 0.01. Reprinted with permission from Zurawlew et al. (2016) and the publisher John Wiley and Sons.

The results indicate that a prolonged period of post-exercise hot-water immersion had a significant effect on time-trial finishing times. The statistical findings generated by Zurawlew et al. (2016) supports previous theories. Tyler et al. (2016) reported a 4 per cent improvement in both submaximal cycling performance and race-walking performance. In the review conducted by Tyler et al., it was stated that longer intervention periods were more successful than shorter intervention periods (7 days). The findings of Zurawlew et al. (2016), which relate to 5-km running performance, report that even shorter periods of wet-heat acclimation training (6 days) are equally effective at reducing the time taken to complete a predefined distance. This provides supporting evidence that shorter heat-acclimation protocols can be equally effective at improving endurance performance in hot conditions when compared to longer heat-training protocols.

Heart rate

The changes in mean heart rate during submaximal exercise, hot-water immersion, performance testing and end of exercise decreased significantly for all heat-acclimation groups compared to the values shown during pre-intervention testing. The mean decrease for all heart rate outcome measures was reported as -9 BPM (as displayed in Figure 2). The control groups experienced no decrease in these outcome measures during post-intervention testing (Lorenzo et al., 2010). While previous studies have reported mixed results regarding the changes in resting or during-exercise heart rate after short-term heat acclimation (Willmott et al., 2016), this meta-analysis does not support those theories and instead reported that following a short-duration heat-acclimation protocol (5–9 days), heart rate measures decrease by approximately 22 per cent similar to the findings of Périard et al. (2015) and Périard et al. (2016) (Figure 9). The mean effect size for all heart rate data collected was -9 (BPM). It can be argued that the passive heat stimulus during hot-water immersion generated a significant reduction in cardiovascular strain in recreationally active individuals (Brazaitis and Skurvydas, 2010; Convertino, 1991) and thus, recreationally active individuals may experience a larger improvement in key outcome measures as a result of hot-water immersion heat-acclimation protocol compared to highly trained individuals.

These results were expected based on the previous literature supporting the theory that recreationally active participants would experience a greater reduction in heart rate compared to the endurance-trained group. This suggests that individuals who have a lower training history (e.g. recreationally trained) are likely to receive a more significant effect from heat training compared to individuals with a greater training history.

Rectal temperature (Tre°C)

The reduction in rectal temperature is critical to athlete performance because having an increased body temperature can inhibit aerobic performance (Lim et al., 2008). Therefore, if heat-acclimation training decreases core body temperature when exercising in hot conditions, there is a potential to improve exercise performance in the heat.

These statistical findings support the data and theories proposed in previous studies concerning the physiological effects of heat-acclimation training. The results of this meta-analysis (Figure 3) support the theories of prior research indicating that heat acclimation has a statistically significant effect on Tre (Tyler et al., 2016). The authors demonstrated a moderate-to-large reduction in during- and post-exercise Tre after completing a heat-acclimation protocol (Tyler et al., 2016). These findings support the results of this meta-analysis. Zurawlew et al. (2018a) stipulated that as a consequence of their habitual exercise training, endurance-trained individuals are considered to be further along the heat adaptation consortium than recreationally active individuals; thus reducing their total adaptation potential (Tyler et al., 2016). This explains why the recreationally active group experienced a greater decrease in heart rate following heat acclimation, SMD, -4 (BPM) (endurance-trained sub-group) compared to -15 (BPM) (recreationally active sub-group) (Data can be seen in Figure 3).

Rating of perceived exertion (RPE), physiological heat strain index (PSI) and thermal sensation

The change in RPE, PSI and thermal sensation following heat acclimation were all considered to be statistically significant. Prior research has resulted in mixed results regarding the effect of heat-acclimation training on thermal sensation metrics while exercising in hot conditions (Chong and Zhu, 2017; Périard et al., 2015; Racinais et al., 2015).

The changes in RPE were the greatest when compared to the other methods of measuring the psychological and physiological effects of thermal discomfort. There was no difference between the endurance-trained sub-group and the recreationally active sub-group regarding the change in the PSI, with both sub-groups reporting a change of -1.1 for the PSI. However, there was a statistically significant change between the two sub-groups for the RPE, with the endurance-trained sub-group reporting a change of -1 and the recreationally active sub-group reporting -2. Tyler et al. (2016) reported heat acclimation had a moderate impact on RPE and a small impact on thermal sensation. The outcome measure thermal sensation is a crucial stimulus that drives voluntary behaviour such as self-selected exercise performance and capability. Thus, future research may focus on ways to improve thermal sensation measures through hot-water immersion heat-acclimation protocols.

Sweat rate

The change in sweat rate was not considered statistically significant due to the analysis resulting in mixed results with Zurawlew et al. (2019) AM data reporting a small decrease in sweat rate (-0.07 litres per hour). However, only one of the other sub-groups reported results that were statistically significant (Zurawlew (2016) reported an increase of 0.25 litres per hour) The other two sub-groups reported small increases in sweat rate that were too small to be considered statistically significant (Zurawlew (2019) 0.12 litres per hour and Zurawlew (2019) PM data 0.04 litres per hour). Therefore, it has to be claimed that the results seen in this meta-analysis regarding the changes in sweat rate do not support claims made in previous studies which have suggested that heat training can increase sweat rate (Roberts et al., 1977 and Magalhães et al., 2010).

The results indicate that post-exercise hot-water immersion promotes similar physiological responses to those normally associated with conventional heat training (Périard et al., 2016). Figure 9 (adapted with permission from Périard et al., 2015), shows a graphical representation of the physiological adaptations experienced as a result of heat-acclimation training over a 14-day time frame. As can be seen from the graph, the rate of adaptation is different depending on the nature of the physiological adaptation. Thus, some adaptations may be experienced after only three or four days of heat acclimation, whereas other changes may take up to six or seven days to be fully experienced. The data also suggests that some physiological adaptations reach a limit of progression after a set number of days irrespective of the number of future heat training experienced. One example of this can be viewed in heart rate. The changes in heart rate start rapidly, but after day six, no future changes are experienced. This suggests that the level of change for some physiological adaptations is not in direct proportion to the total number of days of heat-acclimation training.

Figure 7: A 14-day time course of human adaptations and responses to heat stress (Reprinted with permission from Périard <em>et al.</em> 2015 and the publisher John Wiley and Sons)
Figure 9: A 14-day time course of human adaptations and responses to heat stress (Reprinted with permission from Périard et al. 2015 and the publisher John Wiley and Sons)

Conclusions and extensions

These findings support the original findings of James et al. (2018); Périard et al. (2016); Racinais et al. (2015) and Reeve et al., (2019).

The data suggests that for individuals at all competition levels, there is a significant performance benefit that comes as a result of performing a post-exercise hot-water immersion protocol that has a heat-acclimation focus (Chong and Zhu, 2017; Guy et al., 2016; Périard et al., 2016). However, amateur athletes and individuals with a shorter training history are likely to experience a greater performance improvement compared to high-level athletes.

In addition, the findings presented in this study can and should be used in conjunction with other strategies to overcome performance limitations that occur via exercising in hot conditions. One example of this is to use the protocol outlined in this study with other pre-existing pre-exercise cooling methods such as ice vests (Jones et al., 2012; Quod et al., 2008), and the oral ingestion of cold liquids (Périard et al., 2016; Ross et al., 2011). The findings presented in this study are of particular relevance to endurance athletes and sports scientists looking to develop strategies to mitigate the extreme environmental conditions that are likely to occur during the Tokyo 2021 Olympic and Paralympic games.

Limitations

One minor limitation of the study is that only one of the included studies had female participants (Brazaitis and Skurvydas, 2010). However, it should be argued that the results seen in this meta-analysis can still be applied to females. This is because recent studies (Kaciuba-Uscilko and Grucza, 2001; Iyoho et al., 2017) have shown that there is no difference in heat adaptation and thermoregulation between male and females. Instead the rate of heat adaptation is linked to body surface area and surface mass ratio and, thus, the rate of heat adaptation is not dependant on gender (Notley et al., 2017).

Secondly, only two studies were randomised-control trials in nature, and due to the design characteristics for the study, the sample sizes are small (n=9 to n=17). This argues that more randomised-control trials and repeated-measures studies with larger samples sizes are needed to provide more definitive results. Finally, regarding the process of data collection, the mean differences between pre- and post-intervention were calculated. However, in the cases where accurate p values within or between groups or 95 per cent CI were unavailable, default p values were employed, and this could have impacted the reported results. Egger plots suggest a minimal chance of publication bias, indicating there may not be negative, publicly available datasets in existence. Despite this, the limited number of studies may negatively affect the relevance of Egger plots in this analysis.

Conclusion

Hot-water immersion protocols focused on heat acclimation decrease time-trial finishing time, heart rate during exercise, HRM, HRe, HRhwi, Tre during exercise and decrease measures of heat stress including rating of perceived exertion, physiological heat strain index and thermal sensation.

For the purpose of practical recommendations, it should be advised that hot-water immersion protocols should last between 6 and 10 days (Shin et al., 2013; Zurawlew et al., 2016), hot-water immersion should take place directly after approximately 40 minutes of submaximal exercise (Heathcote et al., 2019; Zurawlew et al., 2016) and hot-water immersion should consist of 40 minutes immersed up to neck at 40°C, for best results.

Recommendations for future research

This meta-analysis has shown that hot-water immersion heat acclimation has a positive impact on exercise performance in both hot (28°C+) and thermoneutral environmental conditions (12–18°C). However, there are several elements still unclear regarding hot-water immersion heat-acclimation protocols. One recommendation for future research is to identify a way of measuring the total psychological strain experienced by an individual during hot-water immersion heat-acclimation protocols. It has been widely stated that hot-water immersion heat-acclimation protocols have a training effect on the human body; however, there has not yet been a validated method of accounting for the psychological stress induced by such heat-acclimation protocols. A system similar to that of training stress score/heart rate training stress score would be extremely useful to athletes and coaches attempting to implement hot-water immersion heat-acclimation protocols into training schedules.


Acknowledgements

The author would like to thank Dr Simon Jenkins (University of Winchester) for his comments and feedback towards the end of the manuscript writing process. The author would also like to thank Julien Périard (University of Canberra) and the publisher (John Wiley and Sons) for allowing me to reuse their resource regarding the cardiovascular adaptations supporting human exercise-heat acclimation (Figure 9). I equally thank Dr Michael Zurawlew (Liverpool John Moores University) and the publisher (John Wiley and Sons) for allowing the reuse of their data investigating the Influence of a six-day post-exercise hot-water immersion protocol on 5-km treadmill TT performance (Figure 8).

A final thank you must be given to the editors of Reinvention: An International Journal of Undergraduate Research and the reviewers of this manuscript for creating a platform to support and showcase young academics.

The author reports no conflicts of interest.

List of illustrations

Figure 1: Prisma flow diagram

Figure 2: Changes in heart rate after a prolonged heat-acclimation training protocol

Figure 3: Changes in rectal temperature following wet-heat acclimation training

Figure 4: Changes in sweat rate following heat-acclimation training

Figure 5: Changes in RPE following heat-acclimation training

Figure 6: Changes in physiological heat strain index following heat-acclimation training

Figure 7: Changes in thermal sensation following heat-acclimation training

Figure 8: Influence of a six-day post-exercise hot-water immersion protocol on 5-km treadmill time-trial performance (Zurawlew et al., 2016) (A); Treadmill time-trial finishing time in 18°C (40 per cent humidity) and 33°C (40 per cent humidity) (B) per cent change in 5-km treadmill time-trial finishing time. Graph (A) shows mean and SD. Graph (B) shows mean and 90 per cent CI of the differences. * p < 0.05 and ** p < 0.01. Reprinted with permission from Zurawlew et al. (2016) and the publisher John Wiley and Sons.

Figure 9: A 14-day time course of human adaptations and responses to heat stress (Reprinted with permission from Périard et al. 2015 and the publisher John Wiley and Sons)

List of tables

Table 1: NIH Quality Assessment Tool for Systematic Reviews and Meta-Analyses

Table 2: TESTEX study quality table

References

Altareki, N., B. Drust, G. Atkinson, T. Cable and W. Gregson (2009) ‘Effects of environmental heat stress (35 degrees C) with simulated air movement on the thermoregulatory responses during a 4-km cycling time trial’, International Journal of Sports Medicine, 30 (1), 9–15.

Borenstein, M., J. P. Higgins, L. V. Hedges and H. R. Rothstein (2017), Basics of meta‐analysis: I2 is not an absolute measure of heterogeneity’, Research Synthesis Methods, 8 (1), 5–18.

Borg, E. and L. Kaijser (2006) ‘A comparison between three rating scales for perceived exertion and two different work tests’, Scandinavian Journal of Medicine & Science in Sports, 16 (1), 57–69.

Brazaitis, M. and A. Skurvydas (2010) ‘Heat acclimation does not reduce the impact of hyperthermia on central fatigue’, European Journal of Applied Physiology, 771–78. doi: 10. 1007/s00421-010-1429-3.

Casa, D., J. DeMartini, M. Bergeron, D. Csillan, E. Eichner, R. Lopez, M. Ferrara, K. Miller, F. O'Connor, M. Sawka, and S. Yeargin, (2015) ‘National Athletic Trainers’ Association position statement: Exertional Heat illnesses’, Journal of Athletic Training, 50 (9), 986–1000.

Cheung, S. S. and T. M. McLellan (1998) ‘Heat acclimation, aerobic fitness, and hydration effects on tolerance during uncompensable heat stress’, Journal of Applied Physiology, 84 (5), 1731–39.

Cheuvront, S., R. Kenefick, S. Montain and M. Sawka (2010) ‘Mechanisms of aerobic performance impairment with heat stress and dehydration’, Journal of Applied Physiology, 109 (6), 1989–95.

Chong, D. and N. Zhu (2017) ‘Human heat acclimatization in extremely hot environments: A review’, Procedia Engineering, 248–253. doi: 10. 1016/j. proeng. 2017. 09. 960.

Convertino, V. A. (1991) ‘Blood volume’, Medicine & Science in Sports & Exercise, 1338–48. doi: 10. 1249/00005768–199112000–00004.

Curlette, W. L. (1987) ‘The Meta-Analysis Effect Size calculator: A basic program for reconstructing unbiased effect sizes’, Educational and Psychological Measurement, 107–09. doi: 10. 1177/0013164487471012.

da Costa Santos, C. M., C. A. de Mattos Pimenta and M. R. C. Nobre (2007) ‘The PICO strategy for the research question construction and evidence search’, Revista Latino-Americana de Enfermagem, 15 (3), 508–511.

Egger, M., G. Smith, M. Schneider and C. Minder (1997) ‘Bias in meta-analysis detected by a simple, graphical test’, BMJ, 629–634. doi: 10. 1136/BMJ. 315. 7109. 629.

Eriksen, M. B. and T. F. Frandsen (2018) ‘The impact of patient, intervention, comparison, outcome (PICO) as a search strategy tool on literature search quality: a systematic review’, Journal of the Medical Library Association: JMLA, 106 (4), 420–31.

Fox, R., R. Goldsmith, D. Kidd and H. Lewis (1963), Acclimatization to heat in man by controlled elevation of body temperature. The Journal of Physiology, 166 (3), 530-547.

Guy, J., D. Pyne, G., Deakin, C. Miller and A. Edwards (2016) ‘Acclimation training improves endurance cycling performance in the heat without inducing endotoxemia’, Frontiers in Physiology, 7, 318.

Heathcote, S., P. Hassmén, S. Zhou, L. Taylor and C. Stevens (2019) ‘How does a delay between temperate running exercise and hot-water immersion alter the acute thermoregulatory response and heat-load?’, Frontiers in Physiology, 10, 1381.

Higgins, J. P., S. G. Thompson, J. J. Deeks and D. G. Altman (2003) ‘Measuring inconsistency in meta-analyses’, BMJ, 327 (7414), 557–60.

Horstman, D. H. and E. Christensen (1982) ‘Acclimatization to dry heat: Active men vs. active women’, Journal of Applied Physiology: Respiratory, environmental and exercise physiology, 52 (4), 825–31.

Huedo-Medina, T. B., J. Sánchez-Meca, F. Marín-Martínez and J. Botella. (2006) ‘Assessing heterogeneity in meta-analysis: Q statistic or I2 index?’, Psychological Methods, 193–206. doi: 10. 1037/1082–989x. 11. 2. 193.

Iyoho, A. E., L. J. Ng, and L. Macfadden (2017) ‘Modeling of gender differences in thermoregulation’, Military Medicine, 295–303. Doi: 10. 7205/milmed-d-16-00213.

James, C. A., A. J. Richardson, P. W., Watt, A. G. Willmott, O. R. Gibson and N. S. Maxwell (2018) ‘Short-term heat acclimation and precooling, independently and combined, improve 5-km time trial performance in the heat’, Journal of Strength and Conditioning Research / National Strength & Conditioning Association, 32 (5), 1366–75.

Jentjens, R. L. P. G., A. J. M. Wagenmakers, and A. E. Jeukendrup (2002) ‘Heat stress increases muscle glycogen use but reduces the oxidation of ingested carbohydrates during exercise’, Journal of Applied Physiology, 92 (4), 1562–72.

Jones, P. R., C. Barton, D., Morrissey, N. Maffulli and S. Hemmings (2012) ‘Precooling for endurance exercise performance in the heat: A systematic review’, BMC Medicine. doi: 10. 1186/1741-7015-10-166.

Kaciuba-Uscilko, H. and R. Grucza (2001) ‘Gender differences in thermoregulation’, Current Opinion in Clinical Nutrition and Metabolic Care, 533–536. doi: 10. 1097/00075197-200111000-00012.

Kraessig, H. (1978) ‘Clothing comfort – interaction of thermal, ventilation, construction and assessment factors’, Journal of Polymer Science: Polymer Letters Edition, 249–49. doi: 10. 1002/pol. 1978. 130160509.

Lim, C. L., C. Byrne, and J. K. Lee, (2008), ‘Human thermoregulation and measurement of body temperature in exercise and clinical settings’, Annals Academy of Medicine Singapore, 37 (4), 347.

Lorenzo, S., J. R. Halliwill, M. N. Sawka and C. T. Minson (2010) ‘Heat acclimation improves exercise performance’, Journal of Applied Physiology, 1140–47. doi: 10. 1152/japplphysiol. 00495. 2010.

Magalhães, F. C., R. L. Passos, M. A., Fonseca, K. P. Oliveira, J. B. Ferreira-Júnior, A. R. Martini, M. R. Lima, J. B. Guimarães, V. G. Baraúna, E. Silami-Garcia and L. O. Rodrigues (2010) ‘Thermoregulatory efficiency is increased after heat acclimation in tropical natives’, Journal of Physiological Anthropology, 29 (1), 1–12.

Moher, D., A. Liberati, J. Tetzlaff, D. G. Altman and Prisma Group (2009) ‘Preferred reporting items for systematic reviews and meta-analyses: the PRISMA statement’, Annals of Internal Medicine, 151 (4), 264–69, W64.

Moran D., Y. Shapiro, U. Meiri, A. Laor and M. Horowitz (1996) ‘Heat acclimation: cardiovascular response to hot/dry and hot/wet heat loads in rats’, Journal of Basic and Clinical Physiology and Pharmacology, 7 (4), 375–87.

National Heart, Lung and Blood Institute, (2020) ‘Study Quality Assessment Tools | NHLBI, NIH’, available at https://www. nhlbi. nih. gov/health-topics/study-quality-assessment-tools, accessed 28 October 2020.

Nielsen, B. (1998) ‘Heat acclimation – Mechanisms of adaption to exercise in the heat’, International Journal of Sports Medicine, S154–S156. doi: 10. 1055/s-2007-971984.

Notley, S. R., J. Park, K. Tagami, N. Ohnishi, and N. A. Taylor (2017) ‘Variations in body morphology explain sex differences in thermoeffector function during compensable heat stress’, Experimental Physiology, 102 (5), 545–62.

Pandolf, K. B. (1979) ‘Effects of physical training and cardiorespiratory physical fitness on exercise-heat tolerance: recent observations’, Medicine and Science in Sports, 11 (1), 60–65.

Périard, J. D., G. J. Travers, S. Racinais and M. N. Sawka (2016) ‘Cardiovascular adaptations supporting human exercise-heat acclimation’, Autonomic Neuroscience: Basic & Clinical, 196, 52–62.

Périard, J. D., S. Racinais, and M. N. Sawka (2015) ‘Adaptations and mechanisms of human heat acclimation: Applications for competitive athletes and sports’, Scandinavian Journal of Medicine & Science in Sports, 25 Suppl 1, 20–38.

Pryor, J. L., E. C. Johnson, W. O. Roberts and R. R. Pryor (2019) ‘Application of evidence-based recommendations for heat acclimation: Individual and team sport perspectives’, Temperature (Austin, Tex. ), 6 (1), 37–49.

Quod, M. J., D. T. Martin, P. B., Laursen, A. S. Gardner, S. L., Halson, M. P. Tate, D. E. Mainwaring, C. J. Gore and A. G. Hahn (2008) ‘Practical precooling: effect on cycling time trial performance in warm conditions’, Journal of Sports Sciences, 26 (14), 1477–87.

Racinais, S., J. D. Périard, A. Karlsen and L. Nybo. (2015) ‘Effect of heat and heat acclimatization on cycling time trial performance and pacing’, Medicine and Science in Sports and Exercise, 47 (3), 601–06.

Reeve, T., R. Gordon, P. B. Laursen, J. K. Lee and C. J. Tyler (2019) ‘Impairment of cycling capacity in the heat in well-trained endurance athletes after high-intensity short-term heat acclimation’, International Journal of Sports Physiology and Performance, 14 (8), 1058–65.

Roberts, M. F., C. B. Wenger, J. A. Stolwijk and E. R. Nadel (1977) ‘Skin blood flow and sweating changes following exercise training and heat acclimation’, Journal of Applied Physiology: respiratory, environmental and exercise physiology, 43 (1), 133–37.

Ross M. L. R., L. A. Garvican, N. A. Jeacocke, P. B. Laursen, C. R. Abbiss, D. T. Martin, L. M. Burke (2011) ‘Novel precooling strategy enhances time trial cycling in the heat’, Medicine and Science in Sports and Exercise, 43 (1), 123–33.

Schulze, E., H. A. Daanen, K., Levels, J. R. Casadio, D. J. Plews, A. E. Kilding, R. Siegel, and P. B. Laursen (2015) ‘Effect of thermal state and thermal comfort on cycling performance in the heat’, International Journal of Sports Physiology and Performance, 10 (5), 655–63.

Shin, Y. O., J. B. Lee, Y. K. Min and H. M. Yang (2013) ‘Heat acclimation affects circulating levels of prostaglandin E2, COX-2 and orexin in humans’, Neuroscience Letters, 542, 17–20.

Smart, N. A., M. Waldron, H. Ismail, F. Giallauria, C. Vigorito, V. Cornelissen and G. Dieberg (2015) ‘Validation of a new tool for the assessment of study quality and reporting in exercise training studies: TESTEX’, International Journal of Evidence-Based Healthcare, 13 (1), 9–18.

Suurmond, R., H. van Rhee, and T. Hak (2017), ‘Introduction, comparison, and validation of Meta‐Essentials: A free and simple tool for meta-analysis’, Research Synthesis Methods, 8 (4), 537–553.

Tatterson, A. J., A. G. Hahn, D. T. Martini and M. A. Febbraio (2000) ‘Effects of heat stress on physiological responses and exercise performance in elite cyclists’, Journal of Science and Medicine in Sport / Sports Medicine Australia, 3 (2), 186–93.

Tebeck, S. T., J. D. Buckley, C. R. Bellenger and J. Stanley (2019) ‘Differing physiological adaptations induced by dry and humid short-term heat acclimation’, International Journal of Sports Physiology and Performance, 1–24.

Thompson, S. G. and S. J. Sharp (1999) ‘Explaining heterogeneity in meta-analysis: a comparison of methods’, Statistics in Medicine, 2693–2708. doi: 3. 0. co;2–v”>10. 1002/ (sici)1097–0258 (19991030)18:20<2693::aid-sim235>3. 0. co;2–v.

Thornton, H. R., J. A. Delaney, G. M. Duthie and B. J. Dascombe (2018) ‘Effects of preseason training on the sleep characteristics of professional rugby league players’, International Journal of Sports Physiology and Performance, 13 (2), 176–82.

Tyler, C. J., T. Reeve, G. J. Hodges and S. S. Cheung (2016) ‘The effects of heat adaptation on physiology, perception and exercise performance in the heat: A meta-analysis’, Sports Medicine, 1699–1724. doi: 10. 1007/s40279-016-0538-5.

Willmott, A. G. B., O. R. Gibson, M. Hayes and N. S. and Maxwell (2016) ‘The effects of single versus twice daily short term heat acclimation on heat strain and 3000m running performance in hot, humid conditions’, Journal of Thermal Biology, 56, 59–67.

Young, A. J., M. N. Sawka, L. Levine, B. S. Cadarette, and K. B. Pandolf (1985) ‘Skeletal muscle metabolism during exercise is influenced by heat acclimation’, Journal of Applied Physiology, 59 (6), 1929–35.

Zurawlew, M. J., N. P. Walsh, M. B. Fortes and C. Potter (2016) ‘Postexercise hot water immersion induces heat acclimation and improves endurance exercise performance in the heat’, Scandinavian Journal of Medicine & Science in Sports, 26 (7), 745–54.

Zurawlew, M. J., J. A. Mee, and N. P. Walsh (2018a) ‘Heat acclimation by postexercise hot-water immersion: Reduction of thermal strain during morning and afternoon exercise-heat stress after morning hot-water immersion’, International Journal of Sports Physiology and Performance, 1–6.

Zurawlew, M. J., J. A. Mee, and N. P. Walsh (2018b) ‘Postexercise hot water immersion elicits heat acclimation adaptations in endurance trained and recreationally active individuals’, Frontiers in Physiology, 9, p. 1824.

Zurawlew, M. J., J. A. Mee, and N. P. Walsh (2019) ‘Postexercise hot water immersion elicits heat acclimation adaptations that are retained for at least two weeks’, Frontiers in Physiology. doi: 10. 3389/fphys. 2019. 01080.

Glossary

Adaptation: A positive change in the biological system in response to external loading and adequate subsequent recovery

Heat acclimation: The physiological adaptations associated with prolonged exposure to high environmental temperatures

Meta-analysis: A type of scientific study that statistically analyses pooled data from a number of previous scientific studies that address the same question.

VO2max: Maximal oxygen uptake, defined as the maximum amount of oxygen in millilitres that a person can use in one minute measured per kg of body weight


To cite this paper please use the following details: Martin, J. (2020), 'Post-Exercise Hot-Water Immersion Promotes Heat-Acclimation Responses in Endurance Athletes and Recreational Athletes: A systematic review and meta-analysis', Reinvention: an International Journal of Undergraduate Research, Volume 13, Issue 2, https://reinventionjournal.org/article/view/661. Date accessed [insert date]. If you cite this article or use it in any teaching or other related activities please let us know by e-mailing us at Reinventionjournal@warwick.ac.uk.